超宽带天线有哪些
的有关信息介绍如下:超宽带天线是指超宽带技术使用的天线,超宽带技术通过对具有很陡上升和下降时间的冲激脉冲进行直接调制,使信号具有GHz量级的带宽。
超宽带技术解决了困扰传统无线技术多年的有关传播方面的重大难题,它具有对信道衰落不敏感、发射信号功率谱密度低、低截获能力、系统复杂度低、能提供数厘米的定位精度等优点。

扩展资料:
由于UWB具有好的穿透墙、楼层的能力,UWB可以应用于成像系统。利用UWB技术,可以制造穿墙雷达、穿地雷达。穿墙雷达可以用在战场上和警察的防暴行动中,定位墙后和角落的敌人;
可以用来探测矿产,在地震或其他灾难后搜寻幸存者。基于UWB的成像系统也可以用于避免使用X射线的医学系统。
超宽带(UWB)在早期被用来应用在近距离高速数据传输,近年来国外开始利用其亚纳秒级超窄脉冲来做近距离精确室内定位。
超宽带天线是指超宽带技术使用的天线,超宽带技术通过对具有很陡上升和下降时间的冲激脉冲进行直接调制,使信号具有GHz量级的带宽。
应用于UWB通信系统终端的天线必须具有如下特点:如线性的相位响应,全向的辐射方向图,平稳的增益。因此,超宽带天线的设计成为了UWB系统的主要挑战之一。
近年来,随着无线通讯产品的普及,超宽带技术的发展,人们对天线的带宽提出了越来越高的要求。自2002年,联邦通讯委员会(FCC)通过决议允许把3.1~10.6GHz频段应用于商业领域,具有高数据传输率、低成本、低功耗和抗干扰能力强的超宽带(UWB)通信系统得到了迅速发展。

扩展资料:
超宽带天线的特点:
1、通信距离短:信号传输受到距离的影响和高频信号强度会衰减很快,因此超宽频带的使用更加适用于短距离之间的通信。
2、多径分辨率:因为其采用的是持续时间极短的窄脉冲,所以其时间上和空间上的分辨率都是很强的,方便进行测距、定位、跟踪等活动的开展,并且窄脉冲具有良好的穿透性,所遇超宽带在红外通信中也得到广泛的使用。
3、便携:此技术使用基带传输,无需射频调制和解调,因此其设备功耗小,成本也较低,灵活的使用特性也使其更适合于便携型无线通信的使用。
参考资料来源:
参考资料来源:
超宽带天线是一种新型的无线通信技术。它通过对具有很陡上升和下降时间的冲激脉冲进行直接调制,使信号具有GHz量级的带宽。超宽带天线标准超宽带要求相对带宽比高出20%或者绝对带宽大于0.5GHz,其传输速率可超过100Mbps,具有这样特性的系统称为UWB系统。
超宽带技术作为一种无线通信技术在高分辨率超宽带雷达、探地雷达、精确定位系统等方面已有广泛的应用,近一段时期以来该技术在短距离室内高速无线通信方面的应用受到了人们的关注。
按照FCC的规定将3 .1 GHZ "10 .6 GHZ之
因此近年来这一类天线的研究一直是天线与电波传播领域的一大热点,由于使用场合的限制,UWB天线应当具有尺寸小、成本低、易于加工集成的特性。
由于天线的发射信号是纳秒级的脉冲信号,所以在电气指标上不仅需要满足输入端反射特性,辐射方向性图,增益等频域指标,还需要满足时域脉冲形状的保真度要求。

扩展资料:
超宽带天线特点:
1、超宽带天线优点:保密性好,定位精度高,传输速率高,抗干扰性能强,发送功率非常小。
2、带宽极宽:UWB使用的带宽在1GHz以上
3、消耗电能小:通常情况下通信系统在通信时需要联系发剔载波,因此,要消耗一定电能。而UWB不使用载波,只是发出瞬时脉冲电波,则只在需要时才发送脉冲电波,所以消耗电能小。
参考资料:
超宽带通信是一种不用载波,而通过对具有很陡上升和下降时间的脉冲进行调制(通常,脉冲宽度在0.20-1.5ns之间)的一种通信,也称为脉冲无线电(Impulse Radio).时域(Time Domain)或无载波(Carrier Free)通信。它具有GHz量级的带宽,并因其发射能量相当小,因此可能在不占用现在已经拥挤不堪频率资源的情况下带来一种全新的语音及数据通信方式。
超宽带要求相对带宽比高出20%或者绝对带宽大于0.5GHz,其传输速率可超过100Mbps,具有这样特性的系统称为UWB系统。
超宽带天线结构简单,易于构建,小尺寸、低剖面,能够在回波损耗小于-10dB条件下有效地工作在2.8~9.5GHz的频率范围。
其具有以下的优点:
1、抗干扰性能强; 2、传输速率高;3、带宽极宽:UWB使用的带宽在1GHz以上;4、消耗电能小:通常情况下,尤线通信系统在通信时需要联系发剔载波,因此,要消耗一定电能。而UWB不使用载波,只是发出瞬时脉冲电波,则只在需要时才发送脉冲电波,所以消耗电能小; 5、保密性好;6、发送功率非常小;7、定位精度高。
超宽带信号的主要信号形式可分为传统的基带窄脉冲形式和调制载波形。前者多用于探测、透视、成像、以及低速、低功耗、低成本通信等领域;而后者是2002年FCC规定了UWB通信的频谱使用范围和功率限制后产生的,是日前UWB高速通信较多采用的一种。通常脉冲时宽从微微秒到纳秒;典型的脉冲为高斯型及升余弦波形式等;脉冲重复周期为0.lns。在系统设计过程中UWB信号的波形和脉冲宽度对信号的频谱分布及减1141其它RF系统的影响起决定性作用。通常,UWB信号的脉冲宽度在0.2-1.Sns之间。单个脉冲信号的两个突出的特点:一是激励信号的波形为具有陡峭前沿的单个短脉冲, 二是激励信号包括很宽的频谱,从直流(DC)到微波波段。目前产生脉冲源主要有两类方法:一是光电方法,二是电子方法,后者是目前应用最广泛的方案。而调制载 波形式为:通过调制载波,可将UWB信号搬移到合适的频段进行传输,从而可更加灵活、有效地利用频谱资源。同时,调制载波系统地信号处理方法与一般通信系统采用的方法类似,在目前的条件下,更容易实现高速系统。
超宽带天线则需要考虑频域和时域两种特性。
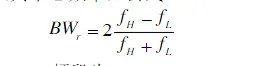
超宽带天线的频域特性:衡量天线的带宽一般用绝对带宽和相对带宽两个重要的物理量。天线的绝对带宽指信号发射点电平达到一定要求时,频率的高频分量(Hf)减去低频分量(Lf),其表达式:

相对带宽指绝对带宽除以其中心频率,公式:

根据FCC的规定,民用UWB频段为3.1-10.6GHz。FCC起初规定相对带宽大于25%或带宽大于1.5GHz的天线可以称为UWB天线。但是由于这种限制过于严格,而遭到了美国业界的反对,因此2002年,根据FCC的新规定,只要相对带宽大于20%或绝对带宽大于500MHz的天线可以称为UWB天线。
超宽带天线的频域特性:UWB天线与传统的窄带天线有很大的不同,不能仅仅从其带宽来衡量其是否适合于UWB信号的传输,要更多的对其时域特性进行考虑。对于UWB天线最重要的时域特性是保真性,它被定义为归一化输入电压与远区域归一化电场的最大相关性。当一个时域很短的脉冲(表明宽频带)被用来激励天线,将产生振铃现象。典型的天线响应如图3-1所示,响应信号在时域上有分散。避免振铃现象也成为设计UWB天线的瓶颈
超宽带天线特点:1、超宽带天线的脉冲响应,这是衡量超宽带信号的最重要方面之一; 2、角度——时域脉冲波形:针对不同的天线辐射方向,分析脉冲响应的特点;3、不同频率的天线增益:由于频带很宽,如何保证整个带宽的增益要求在设计种成为一个重要的考虑因素。
目前超宽带天线主要有加脊喇叭、TEM喇叭、单极子和偶极子、螺旋天线、双锥天线、Vivaldi天线等等,他们性能各异,原理不同。
超宽带天线超宽带技术(UWB,Ultra Wide Band)技术是一种新型的无线通信技术。它通过对具有很陡上升和下降时间的冲激脉冲进行直接调制,使信号具有GHz量级的带宽。
超宽带天线标准
超宽带要求相对带宽比高出20%或者绝对带宽大于0.5GHz,其传输速率可超过100Mbps,具有这样特性的系统称为UWB系统。
超宽带天线结构简单,易于构建,小尺寸、低剖面,能够在回波损耗小于-10dB条件下有效地工作在2.8~9.5GHz的频率范围。
超宽带天线以下的优点:
保密性好
定位精度高
传输速率高
抗干扰性能强
发送功率非常小
带宽极宽:UWB使用的带宽在1GHz以上
消耗电能小:通常情况下,尤线通信系统在通信时需要联系发剔载波,因此,要消耗一定电能。而UWB不使用载波,只是发出瞬时脉冲电波,则只在需要时才发送脉冲电波,所以消耗电能小;



