求手写答案
的有关信息介绍如下:【求解答案】
(1)f(x)=x³+ax²+bx=x³-6x²-6x。
(2)f(x)的极小值为-28-12√6;f(x)的极大值为-28+12√6。
【求解思路】

(1)根据导数的几何意义,函数的一阶导数是该函数的切线斜率。则根据题意, 一元二次函数的导数等于直线的斜率。即y’=3x²+2ax+b=(9x+8)’=9
再根据切点(-1,-1),都在可函数f(x)和已知直线上,所以将切点(-1,-1)分别代入其导函数中得到线性联立方程组,即

解方程组,可解得系数a和b
(2)函数极值,可以按下列步骤,按部就班计算,即可得到函数的极大值和极小值
第一步,求函数的一阶导数。
第二步,令其导函数等于0,并求解y’=0的x值。
第三步,求x对应的y值,即极值点的坐标值。
第四步,求函数的二阶导数,并把x值代入计算,判断其是极大值还是极小值。
【求解过程】
解:(1)求函数f(x)的解析式
函数f(x)的一阶导数,
y’=f’(x)=3x²+2ax+b
直线斜率 y’=(9x+8)’=9
根据题意,函数f(x)和直线相切于(-1,-1),则他们的一阶导数是相等的。即
3x²+2ax+b=9
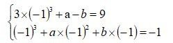
因切点(-1,-1)在函数f(x)上,则有
-1+a-b=-1 (1)
3-2a+b=9 (2)
求解式(1)和式(2)的联立方程组,得
a=-6,b=-6
所以,函数f(x)的解析式
f(x)=x³+ax²+bx=x³-6x²-6x
(2)求函数f(x)的极值
1)求函数f(x)的一阶导数,
y’=f’(x)=(x³-6x²-6x)’=3x²-12x-6
2)求y’=0的x值
令y’=0,求解3x²-12x-6=0方程,得x1=2 + √6 ,x2=2 - √6
3)求x对应的y值
当x=2+√6时,y(2+√6)=(2+√6)³-6(2+√6)²-6(2+√6)=-28-12√6≈-57.394
当x=2-√6时,y(2-√6)=(2-√6)³-6(2-√6)²-6(2-√6)=-28+12√6≈1.394
4)求函数f(x)的二阶导数,
y”=f”(x)=(x³-6x²-6x)”=(3x²-12x-6)’=6x-12
当x=2+ √6时,y”(2+√6)=6×(2+√6)-12=6^(3/2)>0
当x=2-√6时,y”(2-√6)=6×(2-√6)-12=-6^(3/2)<0
所以,当x=2+√6 时,有极小值,其极值为 y=-28-12√6;当x=2-√6 时,有极大值,其极值为 y=-28+12√6。
【本题知识点】
1、导数的几何意义。
在几何上,函数f(x)的导数 f'(x) 是函数y=f(x)表示的曲线在点x 的切线的斜率,即 k=f ′(x) = tanα。

2、函数极值条件。
1)、一元函数的极值。如果函数f(x)在点x0的某一邻域内满足f(x)<f(x0),则称f(x0)为函数f(x)的极大值;如果函数f(x)在点(x0)的某一邻域内满足f(x)>f(x0),则称f(x0)为函数f(x)的极小值。点(x0)称为极值点。
2、极值的判定。可以根据第一充分条件和第二充分条件来判断。
第一充分条件:设y=f(x)在x0的某一邻域可导,且f'(x0)=0或f'(x0)不存在,如果y'在x0的两侧异号,则f(x0)为极值;如果y'在x0的两侧同号,则f(x0)非极值。
第二充分条件:设y=f'(x0)=0,f"(x0)存在,且f"(x0)≠0,如果f"(x0)>0,则f(x0)为极小值;如果f"(x0)<0,则f(x0)为极大值。



