载荷系数公式是什么?
的有关信息介绍如下:载荷系数在机体坐标轴系三个主轴方向的分量为nx、ny、nz(见概述图)。除重力以外的总外力在y方向上的分量(可近似认为就是升力Y)与飞机重力G之比就是y向的载荷系数ny,它可能为正,也可能为负,这取决于该外力的方向。当升力Y与y坐标轴正方向一致时取正,反之取负。
在平直飞行情况下,飞机的升力只要求与重力相等,即Y=G,此时ny=Y/G=1。若飞机作等速平直倒飞,则ny=-1(因此升力方向与y轴的正方向相反)。但在曲线飞行时.如俯冲拉起情况下,升力大于飞机重力的径向分力G·cosθ,这两个力之差使飞机产生向心加速度,飞行轨迹便向上弯曲。
此时,ny=Y/G=cosθ+v2/gr,当以大速度小半径猛烈拉起时,将会产生很大的正ny。ny越大,表示升力比飞机重力大得越多,飞机受力越严重。
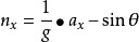
当然,在飞机的x方向上,也会出现与切线加速度相关的惯性力Nx,即(2.8)

按照定义,在俯冲、拉起等各种飞行情况下,x方向的载荷系数应为:除去重力外的x方向的所有外力(沿x方向分量)与重力之比,即(2.9)

将式(2.9)代入式(2.8)得

由于ax一般较小(式(2.8)中对应俯冲拉起飞行中又有加力的情况),而飞机结构在x方向的强度、刚度较好,故除特殊情况(如着陆刹车、前方撞击等)外,nx常不予考虑。平直等速飞行时,T=X,nx=0。另外,z向的过载一般也较小,不予考虑,因此,y向载荷系数是考虑的重点。

扩展资料
载荷影响的系数
1、齿轮制造及装配的误差,轮齿受载后产生的弹性形,将使啮合轮齿的法向齿距Pb1与Pb2不相等,因而轮齿就不能正确啮合传动,齿轮传动瞬时传动比就不是定动载系数值,就会产生角加速度,于是引起动载荷或冲击。
2、对于直齿轮传动,由双对齿啮合过渡到单对齿啮合,或是由单对齿啮合过渡到双对齿啮合的期间,啮合齿对的刚度变化,也要引起动载荷。
参考资料来源:百度百科-动载系数
参考资料来源:百度百科-载荷系数



